学院新闻

学院新闻

当前位置: 首页 >> 学院新闻 >> 正文

tyc5997太阳集团在CoCrGaO₄材料中取得重要研究进展

发布日期:2025年03月25日 10:50     编辑:王利华  核稿:訾振发  终审: 吴震    点击:

近日,tyc5997太阳集团胡吉玉老师,在尖晶石体系CoCrGaO₄中发现了自旋玻璃行为并取得重要研究进展,具体研究成果发表在《Nano Research》(中科院大类一区,IF = 9.6),论文题目为“Spin-glass behavior in the competing CoCrGaO4 cubic spinel system”。胡吉玉老师是tyc5997太阳集团通过2023年高层次人才引进的博士,2024年获批国家自然科学基金青年项目,为本论文的第一作者,tyc5997太阳集团訾振发教授和中国科学技术大学刘超成副研究员为本论文的共同通讯作者,tyc5997太阳集团为论文的第一通讯单位。

自旋玻璃(SG)作为一种独特的磁性状态,其内在无序的自旋结构和随机场效应为多个领域提供了创新研究的可能性,未来研究可聚焦于通过缺陷工程和界面调控进一步优化性能,解锁其在极端条件下的新机遇。探索自旋玻璃的基态特征对于理解无序磁体的本质以及许多其他物理表现至关重要,同时也有助于解决跨多个学科的一些常见问题。然而,自旋玻璃的内在成因一直难以捉摸,特别是在尖晶石氧化物体系中。

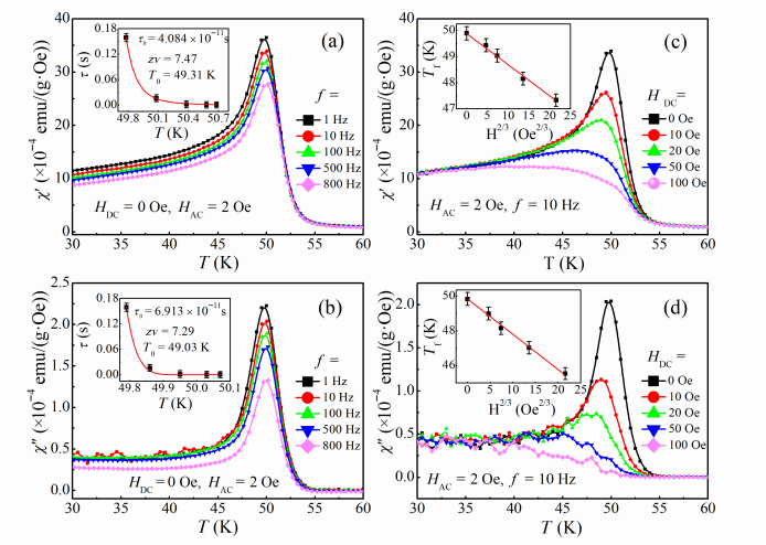
在本论文中,尖晶石体系的SG被定义为具有随机竞争相互作用的无序系统,是被广泛研究的复杂现象。我们报道了在立方尖晶石氧化物CoCrGaO₄中观察到的SG行为,并全面理解了其内在根源。磁性研究结果表明,在多种磁竞争下存在着阻挫态行为,并且通过磁化率测试证实了自旋玻璃的典型特征。等温剩磁曲线的拟合参数进一步揭示了弛豫行为和强烈的自旋阻挫。此外,我们进一步阐明了该体系在不同温度和磁场变化下的交换耦合机制,这被认为是导致无序态的内在原因。我们的研究揭示了掺杂诱导磁阻挫的物理机制,并将以CoCrGaO₄为代表的这一类材料体系发展为研究自旋玻璃行为的潜在平台,从而推动了尖晶石氧化物在阻挫磁性领域的基础研究和应用。

本论文工作得到了国家自然科学基金(Nos. 12305369, 12404129, 22262013 and U1632161)、安徽省教育厅项目(Nos. 2023AH010048 and gxbjZD2022050),安徽省高校自然科学研究项目(No. 2023AH051278)和tyc5997太阳集团高层次人才研究启动基金项目(No. 2024rcjj03)的支持。

上一条:“强国行”专项行动丨党建联建产学研平台 下一条:院领导带队赴天通(六安)新材料有限 公司开展访企拓岗促就业活动